Trong buổi livestream số 6, các bạn học sinh lớp 9 đã được tìm hiểu dạng toán về số hữu tỉ – một trong những dạng bài thường gặp trong đề thi chuyên. Với sự hướng dẫn từ thầy Nguyễn Trọng Khương, các bạn học sinh đã biết được những phương pháp giải dạng toán này hiệu quả và chính xác. Hãy cùng theo dõi và khám phá ở bài viết này nhé!
Giới thiệu về giáo viên
Chương trình livestream buổi 6 ngày 28/3 tiếp tục cung cấp cho các em học sinh lớp 9 những kiến thức về chủ điểm khó – số hữu tỉ thường xuất hiện trong các đề thi chuyên được giảng dạy trực tiếp bởi thầy Nguyễn Trọng Khương. Thầy là cựu học sinh Chuyên Toán – chuyên Nguyễn Huệ và là thành viên đội tuyển Toán Quốc gia năm 2013. Thầy có gần 10 năm kinh nghiệm trong việc giảng dạy các lớp cấp 2 và luôn đồng hành các lớp thi chuyên với Thầy Trần Nhật Minh.
Với những kinh nghiệm giảng dạy của mình, thầy Khương đã cùng các em học sinh vượt qua được các kỳ thi quan trọng và giúp các em chinh phục thành công ước mơ của mình.
Kiến thức về dạng toán số hữu tỉ
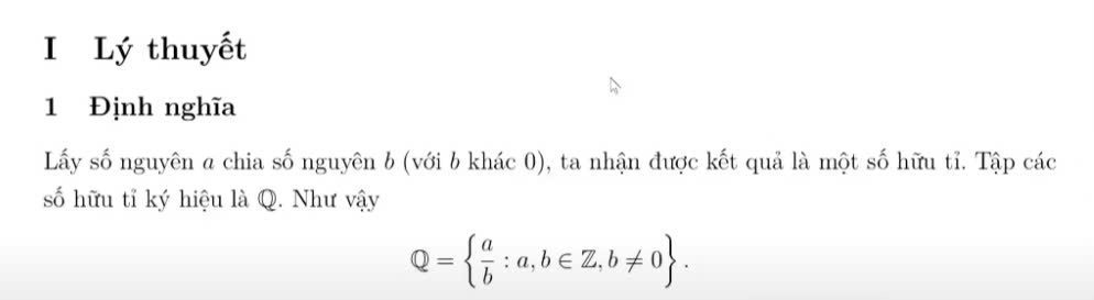
Lý thuyết số hữu tỉ
Trong buổi livestream số 6 vừa qua, thầy Khương đã mang đến cho các em học sinh những kinh nghiệm và kiến thức lý thuyết quan trọng để có thể giải quyết tốt được dạng bài xoay quanh số hữu tỉ. Dưới đây là một số những kiến thức quan trọng trong buổi live của thầy Khương cùng các em học sinh:
Trước khi bắt đầu đi sâu vào các dạng bài cụ thể, thầy Khương đã chia sẻ rằng “Dạng toán về số hữu tỉ là dạng toán thường xuyên xuất hiện trong các đề vòng 1 và vòng 2 của trường chuyên Sư phạm và chuyên Toán, chuyên Tin của Sở giáo dục Hà Nội”. Thầy cũng nhắc lại khái niệm cũng như những nhận xét quan trọng về số hữu tỉ để giúp các bạn học sinh hệ thống lại kiến thức:

Với định nghĩa trên, thầy Khương có một số nhận xét như sau:
- Nhận xét 1: Mọi số nguyên đều là số hữu tỉ
- Nhận xét 2: Với số tự nhiên a (không là số chính phương) thì √a không là số hữu tỉ.
- Nhận xét 3: Tích, tổng, hiệu, thương (số chia khác 0) của hai số hữu tỉ thì cũng là số hữu tỉ.
- Nhận xét 4: Với a là số hữu tỉ, b không là số hữu tỉ nhưng a.b là số hữu tỉ thì a=0 (đây là nhận xét quan trọng nhất)
Bài tập về số hữu tỉ
Ở ví dụ đầu tiên, thầy Khương đã nhấn mạnh rằng một số vô tỉ a nhân với một số hữu tỉ √x, muốn kết quả là số hữu tỉ b thì a=0.

Để hiểu và áp dụng được 4 nhận xét trên đây, thầy Khương đã đi vào giải quyết 6 ví dụ bài tập. Các em học sinh có thể xem lại bài giảng ở buổi livestream đã chia sẻ ở trên fanpage hoặc Youtube của CLB để thực hành và củng cố lại kiến thức về dạng toán này nhé.
Thông tin về chương trình Livestream chia sẻ kiến thức
Chương trình livestream “Bứt phá điểm số – Củng cố hành trang” là cơ hội tuyệt vời dành cho các bạn học sinh lớp 9, giúp các em hệ thống lại kiến thức nền tảng, nâng cao kỹ năng và sẵn sàng chinh phục kỳ thi vào lớp 10 sắp tới. Với nội dung được thiết kế bài bản, đặc biệt là hoàn toàn miễn phí, chương trình sẽ giúp các em tự tin hơn trên hành trình vượt vũ môn.
Đừng quên lưu lại lịch hẹn và theo dõi các buổi livestream vào thứ Hai và thứ Năm hàng tuần trên các kênh chính thức của MathExpress!
Mọi thắc mắc liên quan đến chương trình, quý phụ huynh và các em học sinh vui lòng liên hệ tổng đài 1900 633 551 hoặc truy cập Fanpage CLB Toán bồi dưỡng – MathExpress để được hỗ trợ nhanh chóng và kịp thời.
MathExpress xin gửi lời cảm ơn chân thành đến quý phụ huynh và các em học sinh đã tin tưởng, đồng hành cùng chúng tôi trên hành trình chinh phục 9+ Toán!

![[Livestream số 6] Một số bài toán về số hữu tỉ](https://mathexpress.vn/wp-content/uploads/2025/03/z6448668910008_caab72f799b4b2ac3ea478fb81b38da5.jpg)